中学生也能科研
湖南师大附中6名学子科研成果在第十届国际宇宙日活动中做分享
华声在线11月20日讯(通讯员 李湘黔)11月10日,在国际宇宙日ICD上,年轻人成为天体粒子物理学的研究人员。来自世界各地的超过13个国家的中学、大学和研究机构等60多个研究小组参加了这个活动,世界各地的年轻人通过实验,对不被我们注意到的宇宙粒子进行研究。参与者亲身体验如何探索宇宙射线的过程,了解天体粒子物理学的前沿科学。
湖南师大附中师生积极参与国际科研交流活动。11月初,该校刘一帆、陈辉飏、袁嘉琪、张怀仁、左宏康、马海鹏等同学在马顺存、杨一鸣、沈长铨、赵洪明老师的指导下参加了第十届国际宇宙日活动,经过近10天的学习,初步了解了宇宙射线的基本知识,掌握了科学的研究方法,观察分析数据并确定研究方向。同学们做出了可能的猜想,并通过分工合作讨论、查找资料证明猜想的科学性。最终将研究成果转化为论文,并于11月10日晚与国际友人展开视频交流,分享研究成果、交换各自想法、互相解答疑惑。湖南师大附中6名学子科研成果受到充分肯定。

目前,中国已有“中国科学院高能物理研究所”“中国人民大学附属中学”“北京市东直门中学”“湖南师范大学附属中学”“江苏省姜堰中学”和“江苏省兴化中学”等学校和研究所的相关课题组报名参加了ICD的视频活动,并且在会上作了相关报告。通过本次活动,同学们收获了友谊,增强了团队合作意识,了解了现代科学前沿知识,也学会了科学研究的方法。

近年来,湖南师大附中积极开展科技创新教育,把科创课程作为学校卓越校本化课程精心打造,科技创新成果显著,学校正朝着研究型卓越学校的奋斗目标迈进。

附1:研究论文
EAS Changed With Zenith Angle
Researchers: Liu Yifan, Yuan Jiaqi, Chen Huiyang, Ma Haipeng,Zhang Huairen, Zuo Hongkang.
Instructor: Ma Shuncun.
The High School Attached To Hunan Normal University
Ⅰ.Background
Cosmic rays usually consist of high-energy particles from space. On the way high-energy cosmic rays shoot from space to earth, they need to pass through the atmosphere and it is the time that they interact with atomic nuclei in the atmosphere, knocking out various secondary particles. These secondary particles will interact with atomic nuclei in the atmosphere again during the flight, producing more secondary particles, which are sprinkled from the air to the earth like a rainstorm, and conducting cascade reactions continue to occur in this way. This process is also known as "air shower". More specific, these secondary particles produced by cosmic rays repeatedly act to produce more secondary particles until the average energy is equal to a certain critical value, and the number of secondary particles reaches the maximum value, which is called shower maximum. After that, the particles gradually decay or are affected by the atmosphere. Absorption, so that the number of secondary particles gradually decreases.
High-energy cosmic rays can form "showers" with large area, which produce a large number of secondary charged particles reaching the ground almost simultaneously. By measuring these charged particles arriving at the same time, the "shower" cases can be obtained. Scientists usually study on cosmic rays by indirectly detecting these "showers" reaching the surface of the earth. In general, the higher the energy of cosmic rays, the larger the shower area that reaches the surface. In practical experimental setup, detector array are often used for detection.
In this article, we analyzed the data detected by the detector array of Dongzhimen Middle School in Beijing, China(39.933°N latitude, 116.417°E longitude, 46.4 meters above sea level). The detector array is composed of 9 scintillation detectors, separated by 10 meters, set in a 3×3 matrix pattern, and the sensitive area of each detector is 0.5 square meters.
Ⅱ.Data processing and analysis
We analyzed the direction of each EAS event within 5 days since 0:00 Beijing time on October 4, 2021, and obtained the number of events Ni with the uniform range of the zenith angle from 0 to 90° when i=9. Its standard error σi=Ni0.5. For the zenith angle range A to B, it covers a solid angle Ω=2π(cosA-cosB), and the effective area of the array is 400m2×COSθi (θi is the median of the zenith angle range i). In this way, we get the average EAS intensity Ii=Ni÷(3×Ωi×COSθi) within the unit solid angle range of each zenith angle within a day. The standard error is σli=σi÷(3×Ωi×COSθi). The following is the table after measurement and data processing (Table 1):

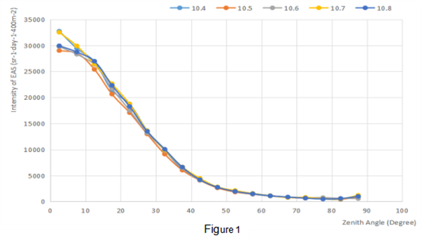
We expect the curve decrease monotonically at in the region (0°, 90°), however from data analysis the intensity of EAS takes the minimum value around (75°, 85°) and get slightly increase in the region (85°, 90°). The reason may relate to accidental coincidence fake events taken account into detection due to relatively large coincident time window.

Ⅲ.Research discussion and result
From the data analysis, we can easily tell that the number of events within the corresponding zenith angle range always reaching the maximum value around X ∈ (20°, 25°) as shown in Figure 1. We believe that: on the one hand, as the zenith angle increases, the solid angle Ω, equals to 2π(cosA-cosB), is increasing, resulting in an increase in the number of events within the corresponding zenith angle; on the other hand, as the zenith angle increases, the effective detection area (0.5m2*cosX) of the detector decreases. Under the combined influence of these two factors, number of events within the corresponding zenith angle will achieve the maximum value at a certain angle position.
In the analysis of the curve of Intensity of EAS, we found that the curve varies steeply with the zenith angle at the beginning and the latter part is relatively flat as shown in Figure 2. From this result, we believe that: according to the principle of extended atmospheric shower, as the zenith angle increases , the particles need to pass through a thicker atmosphere and the primary particles need more energy to reach our detection threshold after being dispersed. Besides, the intensity of the isotropic primary cosmic ray is approximately proportional to E-2, so the EAS intensity is a descending function of the zenith angle.
Second to that, we found that the curve of Intensity of EAS changing with the zenith angle tends to take the minimum value around (75°, 85°) as shown in Figure 2. We believe that the slightly increase of intensity in the region (85°, 90°) may relate to accidental coincidence fake events taken account into detection due to relatively large coincident time window.
Last but not the least, in general, within EAS (Extensive Atmospheric Shower), the number of cosmic rays after area correction decreases as the zenith angle increases (ignoring accidental coincidence fake events)
附2:活动证书:






![]() |
华生在线新闻链接 |
湘ICP电子备案05014582号
